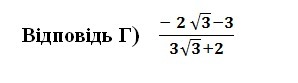
• Найдите значение выражения. помогите решить. ответ во втором рисунке

    question img
    question img

Ответы 1

  • Спасибо. Думаю решение правильно. В книге бывают опечатки.
  • Добавить свой ответ

Войти через Google

или

Забыли пароль?

У меня нет аккаунта, я хочу Зарегистрироваться

How much to ban the user?
1 hour 1 day 100 years