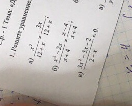
• Решите пожалуйста, распишите все
    Пожалуйста 35 баллов даю

    question img

Ответы 2

  • Спасибо
  • Надеюсь, что понятно) Ответы выделены красной ручкой
    answer img
    • Автор:

      jadenlgd5
    • 6 лет назад
    • 0
  • Добавить свой ответ

Войти через Google

или

Забыли пароль?

У меня нет аккаунта, я хочу Зарегистрироваться

How much to ban the user?
1 hour 1 day 100 years