• Рациональные уравнентя . Решите уравнения . Пппжж срочнноо надо

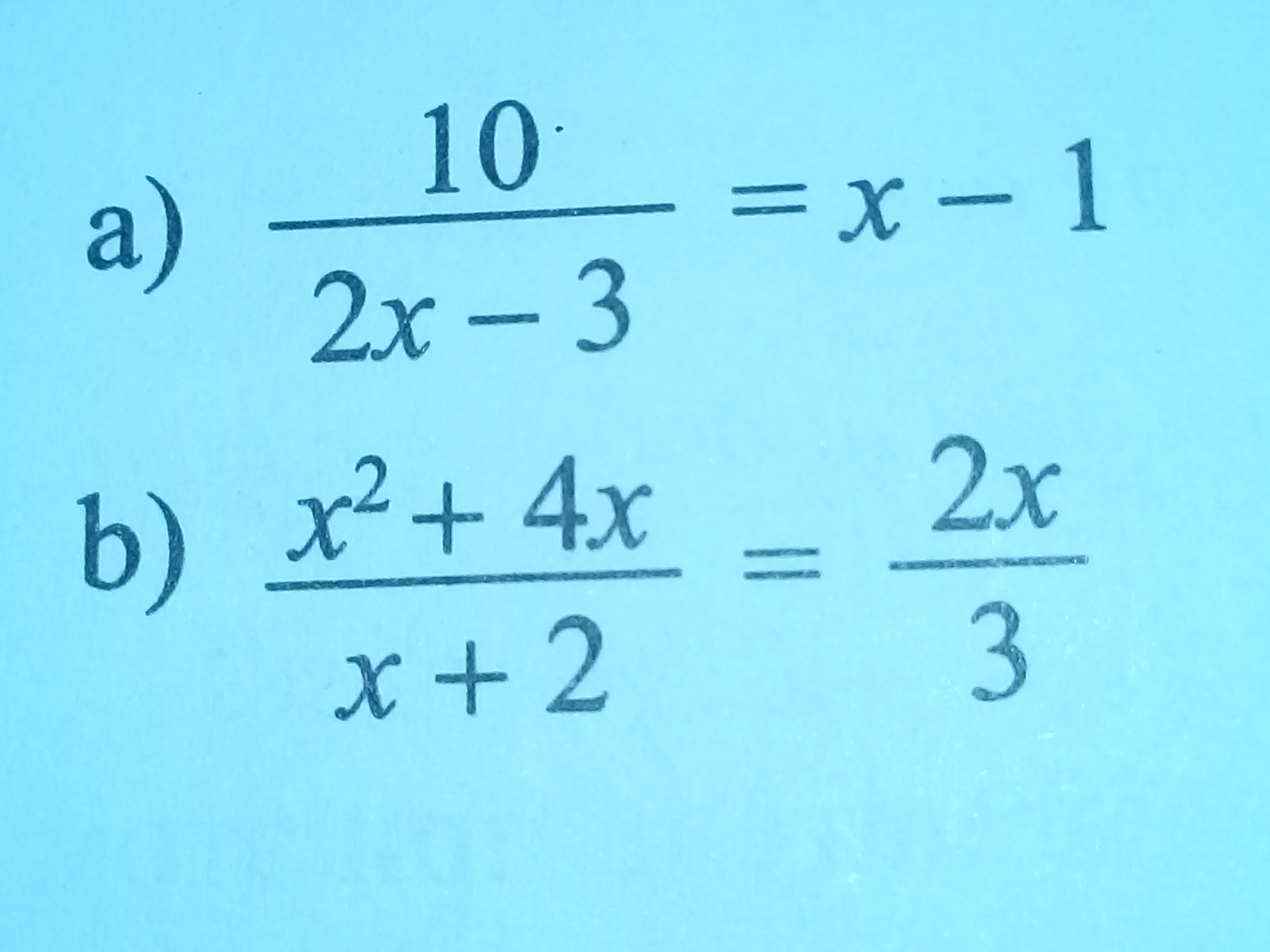
    question img
    question img

Ответы 1

  • (2x-3)(x-1)=102x²-2x-3x+3=102x²-5x-7=03(x²+4x)=2x(x+2)3x²+12x=2x²+4x3x²+12x-2x²-4x=0x²+8x=0
  • Добавить свой ответ

Войти через Google

или

Забыли пароль?

У меня нет аккаунта, я хочу Зарегистрироваться

How much to ban the user?
1 hour 1 day 100 years