• Точка максимума.
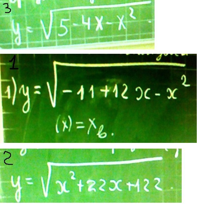
    1)
    2)Найти наименьшее значение функции(у).
    3)Найти наибольшее значение функции(у).

    question img

Ответы 1

  • 1) -12/-2=62)22/2=113)-4/-2=2
  • Добавить свой ответ

Еще вопросы

Войти через Google

или

Забыли пароль?

У меня нет аккаунта, я хочу Зарегистрироваться

How much to ban the user?
1 hour 1 day 100 years