• Помогите решить
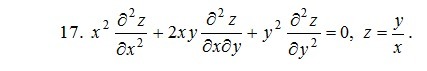
    Проверить, удовлетворяет ли указанному уравнению данная функция z=f (x, y)

    question img

Ответы 2

  • опишите пожалуйста подробно
    • Автор:

      gus35
    • 6 лет назад
    • 0
  • \displaystyle  \frac{\partial z}{\partial x} = -\frac{y}{x^2};~~~~~~ \frac{\partial^2z}{\partial x^2}  =\frac{2y}{x^3} \\ \\  \frac{\partial z}{\partial y}= \frac{1}{x}  ;~~~~~\Rightarrow~~~~  \frac{\partial^2z}{\partial y^2} =0\\ \\ \\  \frac{\partial^2z}{\partial x \partial y} =- \frac{1}{x^2} \\ \\ \\ x^2\cdot \frac{2y}{x^3} +2xy\cdot\bigg(- \frac{1}{x^2}\bigg)+y^2\cdot 0= 0Удовлетворяет.
  • Добавить свой ответ

Войти через Google

или

Забыли пароль?

У меня нет аккаунта, я хочу Зарегистрироваться

How much to ban the user?
1 hour 1 day 100 years