• Не могу справиться :( сдать надо уже завтра утром. Отдаю все баллы!

    question img

Ответы 1

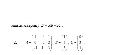
  • 1)A*B=  \left[\begin{array}{ccc}1&-4&1\\0&-2&2\\-1&1&3\end{array}ight] *  \left[\begin{array}{ccc}1\\2\\3\end{array}ight] =   \left[\begin{array}{ccc}-4\\2\\10\end{array}ight] // c11 = a11 · b11 + a12 · b21 + a13 · b31 = 1 · 1 + (-4) · 2 + 1 · 3 = 1 - 8 + 3 = -4c21 = a21 · b11 + a22 · b21 + a23 · b31 = 0 · 1 + (-2) · 2 + 2 · 3 = 0 - 4 + 6 = 2c31 = a31 · b11 + a32 · b21 + a33 · b31 = (-1) · 1 + 1 · 2 + 3 · 3 = (-1) + 2 + 9 = 10//2) 2*C =  2* \left[\begin{array}{ccc}0\\2\\3\end{array}ight]  =   \left[\begin{array}{ccc}0\\4\\6\end{array}ight] 3)  \left[\begin{array}{ccc}-4\\2\\10\end{array}ight]  - \left[\begin{array}{ccc}0\\4\\6\end{array}ight]   = \left[\begin{array}{ccc}-4-0\\2-4\\10-6\end{array}ight] = \left[\begin{array}{ccc}-4\\-2\\4\end{array}ight]
    • Автор:

      camilo
    • 6 лет назад
    • 0
  • Добавить свой ответ

Еще вопросы

Войти через Google

или

Забыли пароль?

У меня нет аккаунта, я хочу Зарегистрироваться

How much to ban the user?
1 hour 1 day 100 years