• Может, кто знает, как можно решить? Помогите, пожалуйста.

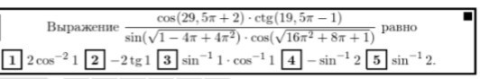
    question img

Ответы 1

  • Числитель надо упростить, убрав 29,5pi и 19,5pi по формулам приведения.В знаменателе под корнем формулы квадрата суммы и разности
    answer img
    • Автор:

      pearson
    • 6 лет назад
    • 0
  • Добавить свой ответ

Войти через Google

или

Забыли пароль?

У меня нет аккаунта, я хочу Зарегистрироваться

How much to ban the user?
1 hour 1 day 100 years