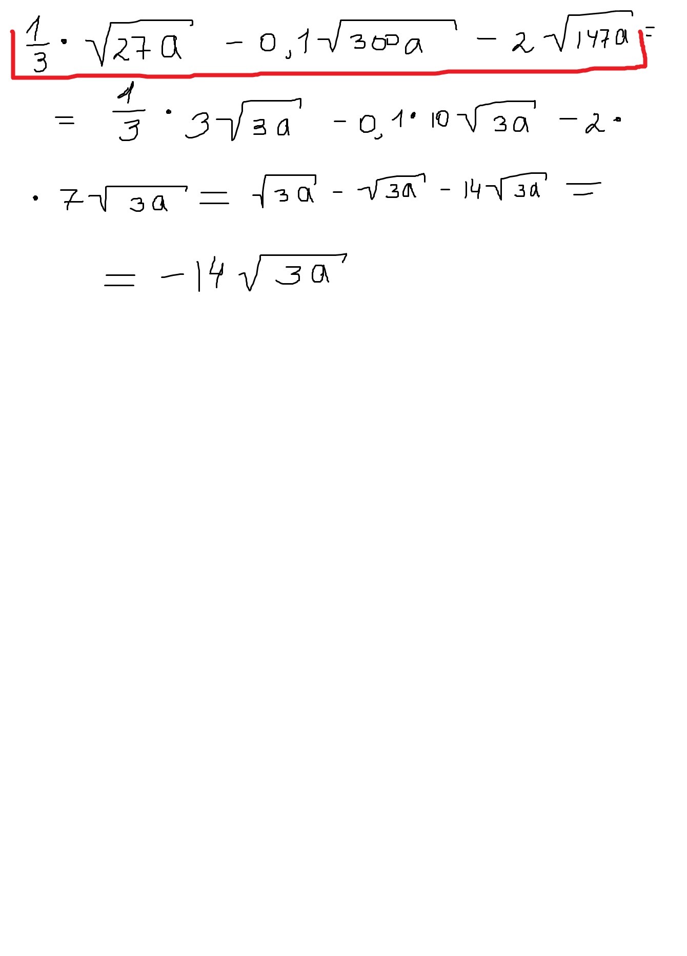
• Помогите упростить выражение :1/3√27а-0,1√300а-2√147а

Ответы 1

  • Немного непонятно написано. Такие задания лучше писать на бумажке и присылать фотографию.Но если у тебя дано то, что подчеркнуто красной линией, и я правильно записала, то решение далее верное.
    answer img
  • Добавить свой ответ

Войти через Google

или

Забыли пароль?

У меня нет аккаунта, я хочу Зарегистрироваться

How much to ban the user?
1 hour 1 day 100 years