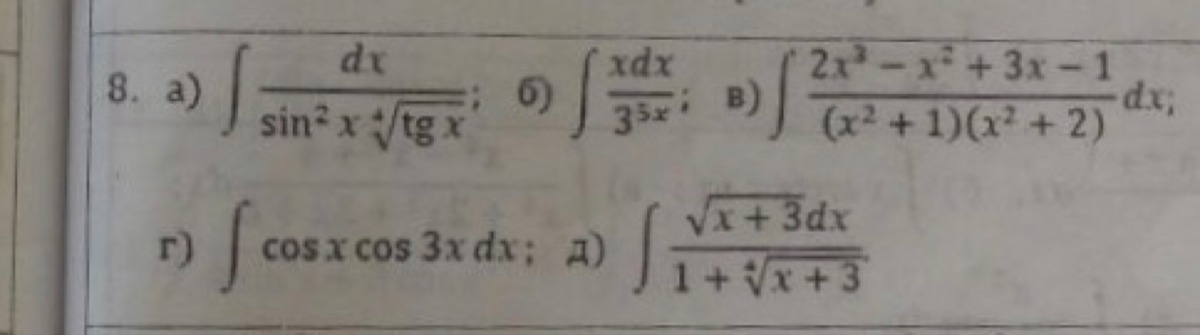
• Решите а,б,в пожалуйста ................................

    question img

Ответы 1

  • 1)\; \; \int \frac{dx}{sin^2x\cdot \sqrt[4]{tgx}}=\int \frac{\sqrt[4]{ctgx}\, dx}{sin^2x}=[\, u=ctgx,\; du=-\frac{dx}{sin^2x}\, ]=\\\\=-\int u^{1/4}\cdot du=-\frac{u^{5/4}}{5/4}+C=-\frac{4}{5}\cdot \sqrt[4]{ctg^5x}+C\\\\2)\; \; \int  \frac{x\, dx}{3^{5x}}=\int 3^{-5x}\cdot x\, dx=[\, u=x,\; du=dx,\; dv=3^{-5x}dx,\\\\v=-\frac{1}{5}\cdot \frac{3^{-5x}}{ln3} \, ]=-\frac{x}{5}\cdot \frac{3^{-5x}}{ln3}+\frac{1}{5ln3}\cdot \int  3^{-5x}\, dx=\\\\=-\frac{x\cdot 3^{-5x}}{5ln3}-\frac{1}{25\, ln^23}\cdot 3^{-5x}+C3)\; \; \int  \frac{2x^3-x^2+3x-1}{(x^2+1)(x^2+2)}\, dx=Q\\\\\frac{2x^3-x^2+3x-1}{(x^2+1)(x^2+2)}=\frac{Ax+B}{x^2+1}+\frac{Cx+D}{x^2+2}=\frac{(Ax+B)(x^2+2)+(Cx+D)(x^2+1)}{(x^2+1)(x^2+2)}\\\\x^3\, |\; 2=A+C\; ,\qquad C=2-A\\x^2\, |\; -1=B+D\; ,\qquad D=-1-B\\x\; |\; 3=2A+C\; ,\qquad C=3-2A\\x^0\, |\; -1=2B+D\; ,\qquad D=-1-2B\\\\2-A=3-2A\; \; \to \; \; A=1\; ,\; C=2-1=1\\\\-1-B=-1-2B\; \; \to \; \; B=0\; ,\; \; D=-1\\\\Q=\int \Big (\frac{x}{x^2+1}+\frac{x-1}{x^2+2}\Big )dx=\frac{1}{2}\int \frac{2x\, dx}{x^2+1}+\frac{1}{2}\int \frac{2x\, dx}{x^2+2}-\int \frac{dx}{x^2+2}==\frac{1}{2}\int \frac{d(x^2+1)}{x^2+1}+\frac{1}{2}\int \frac{d(x^2+2)}{x^2+2}-\frac{1}{\sqrt2}\cdot arctg\frac{x}{\sqrt2}=\\\\=\frac{1}{2}ln|x^2+1|+\frac{1}{2}ln|x^2+2|-\frac{1}{\sqrt2}\cdot arctg\frac{x}{\sqrt2}+C
  • Добавить свой ответ

Войти через Google

или

Забыли пароль?

У меня нет аккаунта, я хочу Зарегистрироваться

How much to ban the user?
1 hour 1 day 100 years