• Tg(arcsin1/2-arcctg4/3) помогите решить срочно!!

Ответы 1

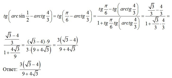
  • применяем формулу тангенса разности:tg(a-b)=(tg(a)-tg(b)) / (1+tgatgb)замечаем, что arcsin(1/2)=π/6tg(arctg4/3)=4/3
    answer img
    • Автор:

      kujo2q24
    • 2 года назад
    • 4
  • Добавить свой ответ

Войти через Google

или

Забыли пароль?

У меня нет аккаунта, я хочу Зарегистрироваться

How much to ban the user?
1 hour 1 day 100 years