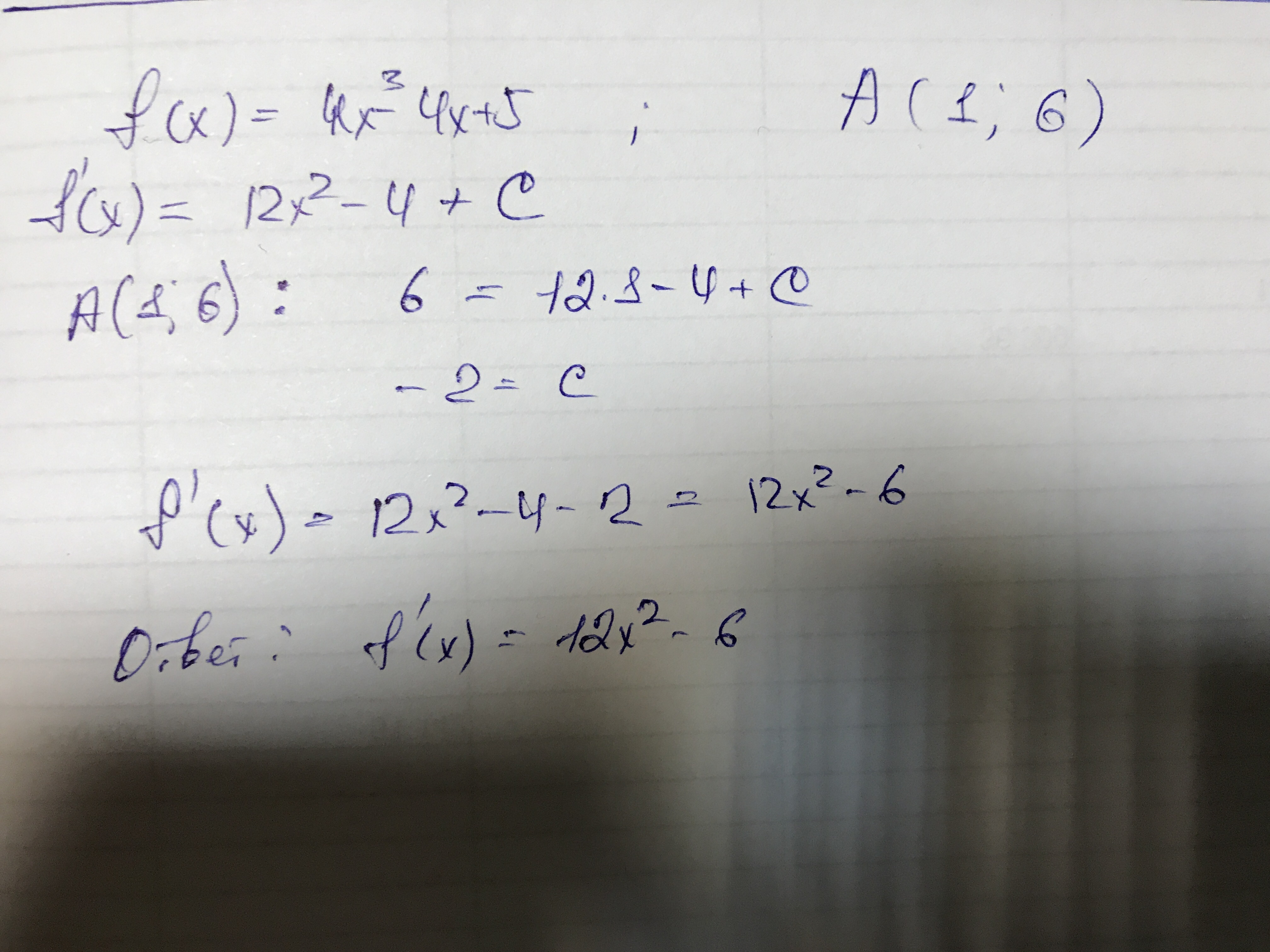
• Найти первообразную f(x)=4x³-4x+5 график которой проходит через точку А(1;6)

Ответы 1

  • Прошу прощения за почерк.
    answer img
  • Добавить свой ответ

Войти через Google

или

Забыли пароль?

У меня нет аккаунта, я хочу Зарегистрироваться

How much to ban the user?
1 hour 1 day 100 years