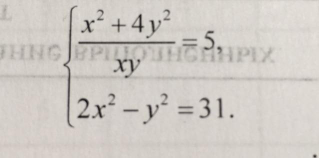
• Решите систему уравнений ,на фото!!!
    Отдам 30 очков))

    question img

Ответы 6

  • Я не понимаю как разобрать эти tex и тп , что это ?
  • Как превратить это в обычное решение ?
  • Пожалуйста объясните что это ?
  • Формулы написаны в TEXе. По идее Вы должны видеть нормальное решение. Зайдите на сайт с компьютера, думаю, что тогда проблем не будет
    • Автор:

      leyla
    • 5 лет назад
    • 0
  • огромное вам спасибо
    • Автор:

      tallyfuo6
    • 5 лет назад
    • 0
  • Разберемся сначала с первым уравнением: x^2+4y^2=5xy\ (xot= 0;\ yot=0);\ (x-4y)(x-y)=0;  
\left [ {{x=4y} \atop {x=y}} ight. 1) x=4y; подставим во второе уравнение: 32y^2-y^2=31;\ 31y^2=31;\ y^2=1;\ y=\pm 1;\ получаем решения (4;1) и (-4;-1).2) x=y; подставим во второе уравнение: 2y^2-y^2=31; y^2=31; \ y=\pm\sqrt{31};

получаем решения (\sqrt{31}; \sqrt{31}); \  (-\sqrt{31};-\sqrt{31})Переписывать полученные 4 решения в ответ скучно.
    • Автор:

      deweyzd12
    • 5 лет назад
    • 0
  • Добавить свой ответ

Войти через Google

или

Забыли пароль?

У меня нет аккаунта, я хочу Зарегистрироваться

How much to ban the user?
1 hour 1 day 100 years