• Комплексные числа.
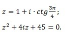
    1) Представить заданные комплексные числа в тригонометрической форме
    2)Решить квадратное уравнение

    question img

Ответы 5

  • Спасибо большое! А где можно почитать теорию по 2 уравнению? Непонятно просто, откуда что
  • обычное кв.уравнение, только с комлексными коэффициентами
  • просто нужно научиться работать с мнимой единицей
    • Автор:

      sourdough
    • 6 лет назад
    • 0
  • Буду разбираться)
  • и обязательно почитай про модуль комплексного числа
    • Автор:

      akira7nx1
    • 6 лет назад
    • 0
  • Добавить свой ответ

Еще вопросы

Войти через Google

или

Забыли пароль?

У меня нет аккаунта, я хочу Зарегистрироваться

How much to ban the user?
1 hour 1 day 100 years