• Решить 1,2,3 задания.
    Срочно. Распишите подробно,пожалуйста.

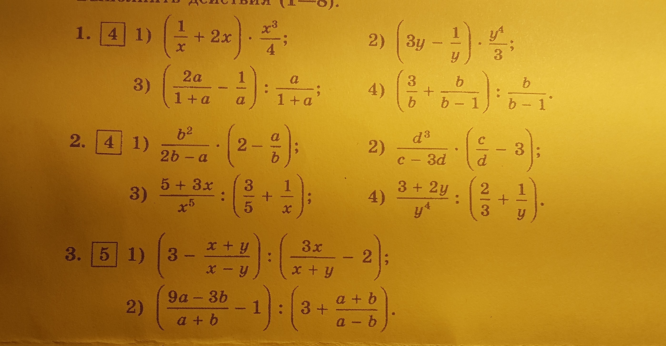
    question img

Ответы 1

  • 1) 1. ( \frac{1}{x} +2x) \frac{x^3}{4} = \frac{x^3}{4x} + \frac{2x^4}4} = \frac{x^2}{4}+ \frac{x^4}{2}  = \frac{x^2+2x^4}{4} 2.(3y- \frac{1}{y} ) \frac{y^4}{3} = 9y- \frac{y^4}{3y} =9y- \frac{y^3}{3} 3.( \frac{2a}{1+a} - \frac{1}{a} ): \frac{a}{1+a} =( \frac{2a}{1+a} - \frac{1}{a} )* \frac{1+a}{a} = \frac{2a(1+a)}{a(1+a)} + \frac{1+a}{a^2} =2+ \frac{1+a}{a^2} 4.( \frac{3}{b} + \frac{b}{b-1}): \frac{b}{b-1} =( \frac{3}{b} + \frac{b}{b-1})* \frac{b-1}{b} = \frac{3(b-1)}{b^2} +1= \frac{3b-3}{b^2} +12) 1. \frac{b^2}{2b-a} (2- \frac{a}{b} )= \frac{2b^2}{2b-a} - \frac{ab^2}{b(2b-a)} = \frac{2b^3-ab^2}{b(2b-a)} = \frac{b^2(2b-a)}{b(2b-a)} =b2. \frac{d^3}{c-3d} ( \frac{c}{d} -3)= \frac{cd^3}{d(c-3d)} - \frac{3d^3}{c-3d} = \frac{cd^3-3d^4}{d(c-3d)} = \frac{d^3(c-3d)}{d(c-3d)} =d^23. \frac{5+3x}{x^5} :( \frac{3}{5} + \frac{1}{x} )= \frac{5(5+3x)}{x^5} + \frac{x(5+3x)}{x^5} = \frac{5x(5+3x)^2}{x^5} = \frac{5(5+3x)^2}{x^4} 4. \frac{3+2y}{y^4}:( \frac{2}{3}  + \frac{1}{y}) = \frac{3(3+2y)}{3y^4} + \frac{y(3+2y)}{y^4} = \frac{y(3+2y)^2}{y^4} = \frac{(3+2y)^2}{y^3} 3)1.(3- \frac{x+y}{x-y} ):( \frac{3x}{x+y} -2)=(3- \frac{x+y}{x-y} ):( \frac{3x-2(x+y)}{x+y} )=(3- \frac{x+y}{x-y} )*  \\\frac{x+y}{3x-2(x+y)} = \frac{3(x-y)-(x+y)}{x-y} * \frac{x+y}{3x-2(x+y)} = \frac{(x+y)(3(x-y)-x-y))}{(x-y)(3x-2(x+y))} = \\   \frac{2x^2-2xy-4y^2}{x^2-3xy+2y^2}
    • Автор:

      rylee98
    • 6 лет назад
    • 0
  • Добавить свой ответ

Войти через Google

или

Забыли пароль?

У меня нет аккаунта, я хочу Зарегистрироваться

How much to ban the user?
1 hour 1 day 100 years