• Помогите пж
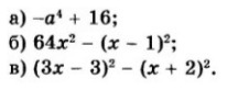
    Задание: Разложите на множители пж!

    question img

Ответы 4

  • Спасибо!
    • Автор:

      wood
    • 6 лет назад
    • 0
  • Сейчас ещё
  • Блин не могу теперь
    • Автор:

      megan73
    • 6 лет назад
    • 0
  • Напиши мне в сообщения
    • Автор:

      brooke
    • 6 лет назад
    • 0
  • Добавить свой ответ

Еще вопросы

Войти через Google

или

Забыли пароль?

У меня нет аккаунта, я хочу Зарегистрироваться

How much to ban the user?
1 hour 1 day 100 years