• помогите пожалуйста решить алгебру.
    только решение поэтапно пожалуйста

    question img

Ответы 2

  • спасибо большое
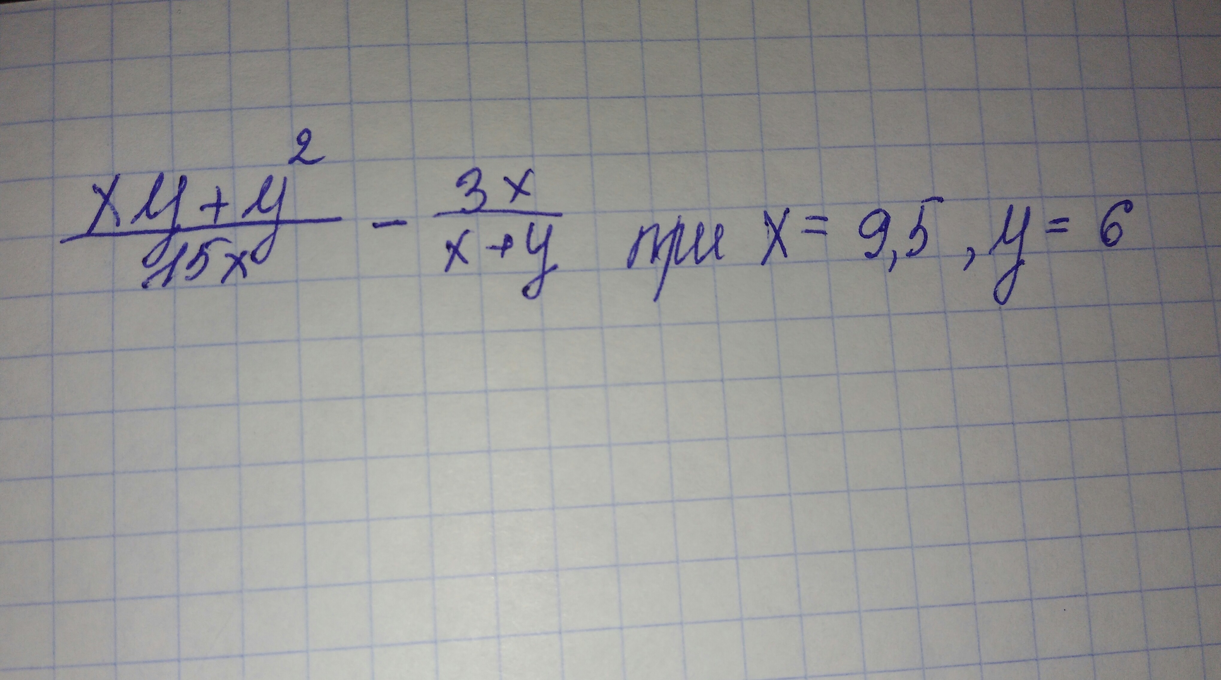
  • 1) \frac{xy+y^{2}}{15} -  \frac{3x}{x+y}; \\  \frac{y(x+y)}{15} -  \frac{3x}{x+y}  \\  \frac{y(x+y)(x+y)-45x}{15(x+y)} \\ \frac{y(x+y)^{2}-45x}{15(x+y)} x=9,5y=62)\frac{y(x+y)^{2}-45x}{15(x+y)} \\  \frac{6(9,5+6)^{2}-45*9,5}{15(9,5+6)} 3) 15(9,5+6) = 15(15,5) = 232,5;4) 6(9,5+6)^{2}-45*9,5 = 6( \frac{31}{2} )^{2} - 45 *  \frac{19}{2}   = 6( \frac{961}{4} ) -  \frac{855}{4} =  \frac{5766-855}{4}; \\   \frac{5766-855}{4} =  \frac{4911}{4}
    • Автор:

      salomón
    • 6 лет назад
    • 0
  • Добавить свой ответ

Войти через Google

или

Забыли пароль?

У меня нет аккаунта, я хочу Зарегистрироваться

How much to ban the user?
1 hour 1 day 100 years