• СРОЧНО ПОМОГИТЕ МНЕ, УМОЛЯЮ
    f(x)=1/ (3-x/2)^9
    f(x)=1/ корень 4x+5-x^2
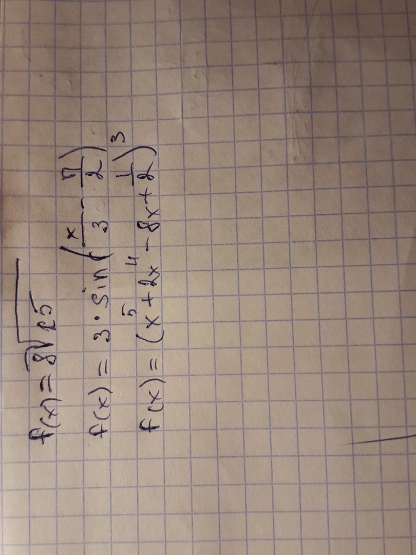
    f(x)=8 корень x5
    f(x)=3*sin(x/3-п/2)3
    f(x)=(x^5+2x^4-8x+1/2)^3

    question img
    question img

Ответы 1

  • спасибо большое, очень помогли, прям от души за помощь) таким людям особое место в раю)
    • Автор:

      jaxson21
    • 6 лет назад
    • 0
  • Добавить свой ответ

Войти через Google

или

Забыли пароль?

У меня нет аккаунта, я хочу Зарегистрироваться

How much to ban the user?
1 hour 1 day 100 years