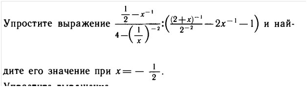
• Помогите пожалуйста решить пример! Хотя бы чтобы свериться,а то проверить негде,правильно ли у меня))

    question img

Ответы 6

  • обращайся, если -0.5 подставить то получится 2/17 в ответе
    • Автор:

      clarkkemp
    • 6 лет назад
    • 0
  • можно
  • кинь мне ссылку на задание
  • У меня не вставляется...я из документа копирую и не получается....А можно я вам по электронному адресу пришлю?
    • Автор:

      jensenkey
    • 6 лет назад
    • 0
  • Я мама ученика, помогаю))
  • на фото.....................................................................
    answer img
    • Автор:

      minaw37u
    • 6 лет назад
    • 0
  • Добавить свой ответ

Еще вопросы

Войти через Google

или

Забыли пароль?

У меня нет аккаунта, я хочу Зарегистрироваться

How much to ban the user?
1 hour 1 day 100 years