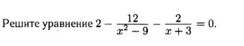
• Помогите пожалуйста решить уравнение! Даю 20
    Фото прикрепил. Желательно решить все на листочке и отправить фото.

    question img

Ответы 1

  • Спасибо большое!
  • Добавить свой ответ

Еще вопросы

Войти через Google

или

Забыли пароль?

У меня нет аккаунта, я хочу Зарегистрироваться

How much to ban the user?
1 hour 1 day 100 years