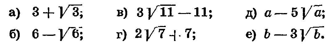
• Разложите выражение на множители, вынося общий множитель за скобки:

    question img

Ответы 1

  • 3+ \sqrt{3}=( \sqrt{3} ) ^{2} + \sqrt{3}= \sqrt{3}( \sqrt{3} +1)\\\\6- \sqrt{6} =( \sqrt{6}) ^{2} - \sqrt{6}= \sqrt{6}( \sqrt{6}-1)\\\\3 \sqrt{11}- 11 =3 \sqrt{11}-( \sqrt{11}) ^{2} = \sqrt{11}(3- \sqrt{11})\\\\2 \sqrt{7}+7=2 \sqrt{7}+( \sqrt{7}) ^{2}= \sqrt{7}(2+ \sqrt{7})\\\\a-5 \sqrt{a}=( \sqrt{a}) ^{2} -5 \sqrt{a} = \sqrt{a}( \sqrt{a}-5)\\\\b-3 \sqrt{b} =( \sqrt{b} ) ^{2}-3 \sqrt{b} = \sqrt{b} ( \sqrt{b}-3)
  • Добавить свой ответ

Войти через Google

или

Забыли пароль?

У меня нет аккаунта, я хочу Зарегистрироваться

How much to ban the user?
1 hour 1 day 100 years