• Допоможіть мені будь даска з алгеброю ?! Буду дуже вдячна !!!

    question img

Ответы 1

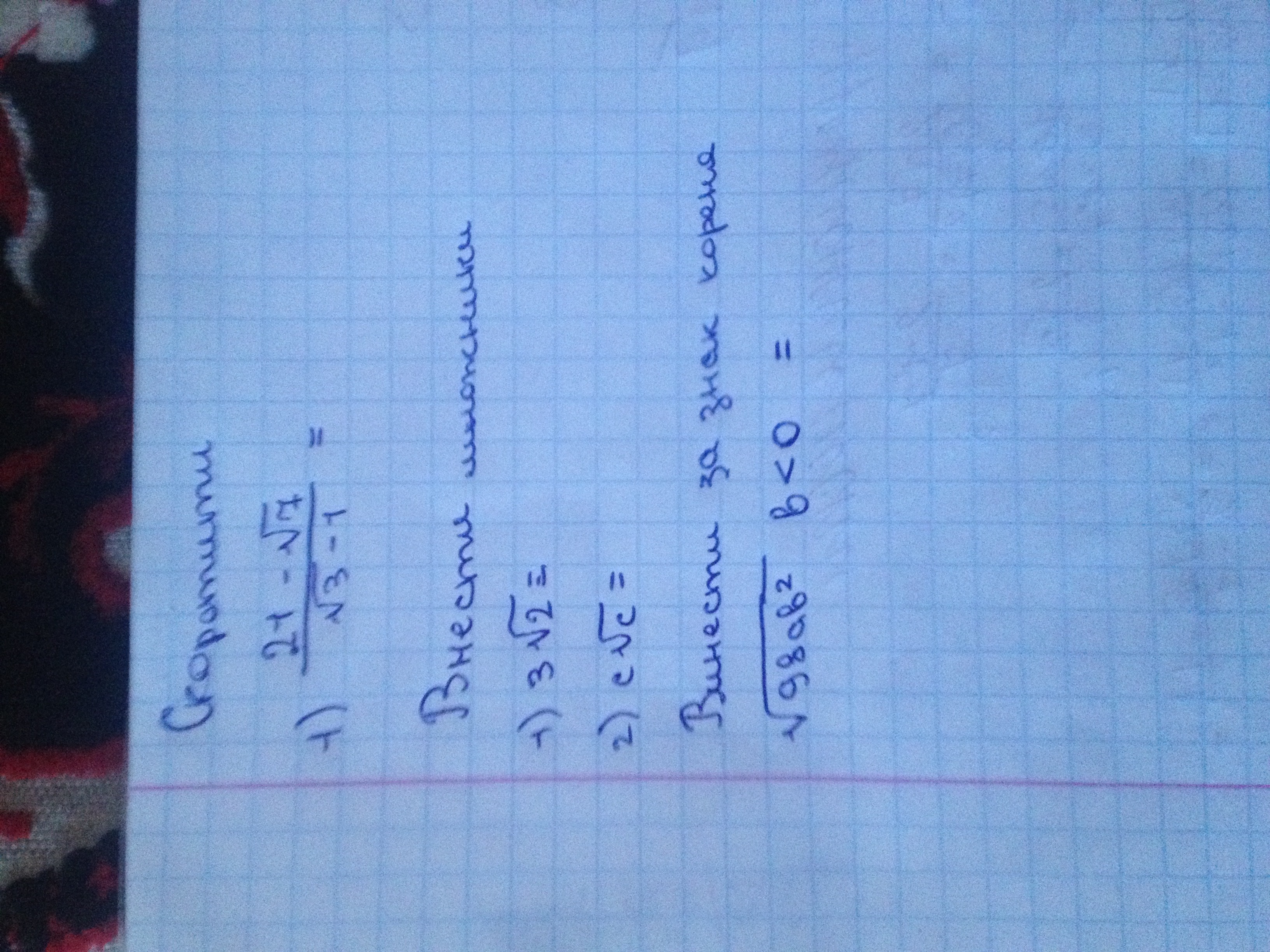
  • Завдання 1.Чис√21-√7знам√3-1=  в чисельнику винесемо спильний множникчис√7(√3-1)знам√3-1= скоротимо на √3-1чис√7знам1=√7.Завдання 2.1)3√2=√(9*2)=√18;2)с√с=√(с²*с)√с³.Завдання 3.Якщо в<0, то √(98ав²)=√(49в²*2а)=7|в|√(2а)=-7в√(2а).
  • Добавить свой ответ

Еще вопросы

Войти через Google

или

Забыли пароль?

У меня нет аккаунта, я хочу Зарегистрироваться

How much to ban the user?
1 hour 1 day 100 years