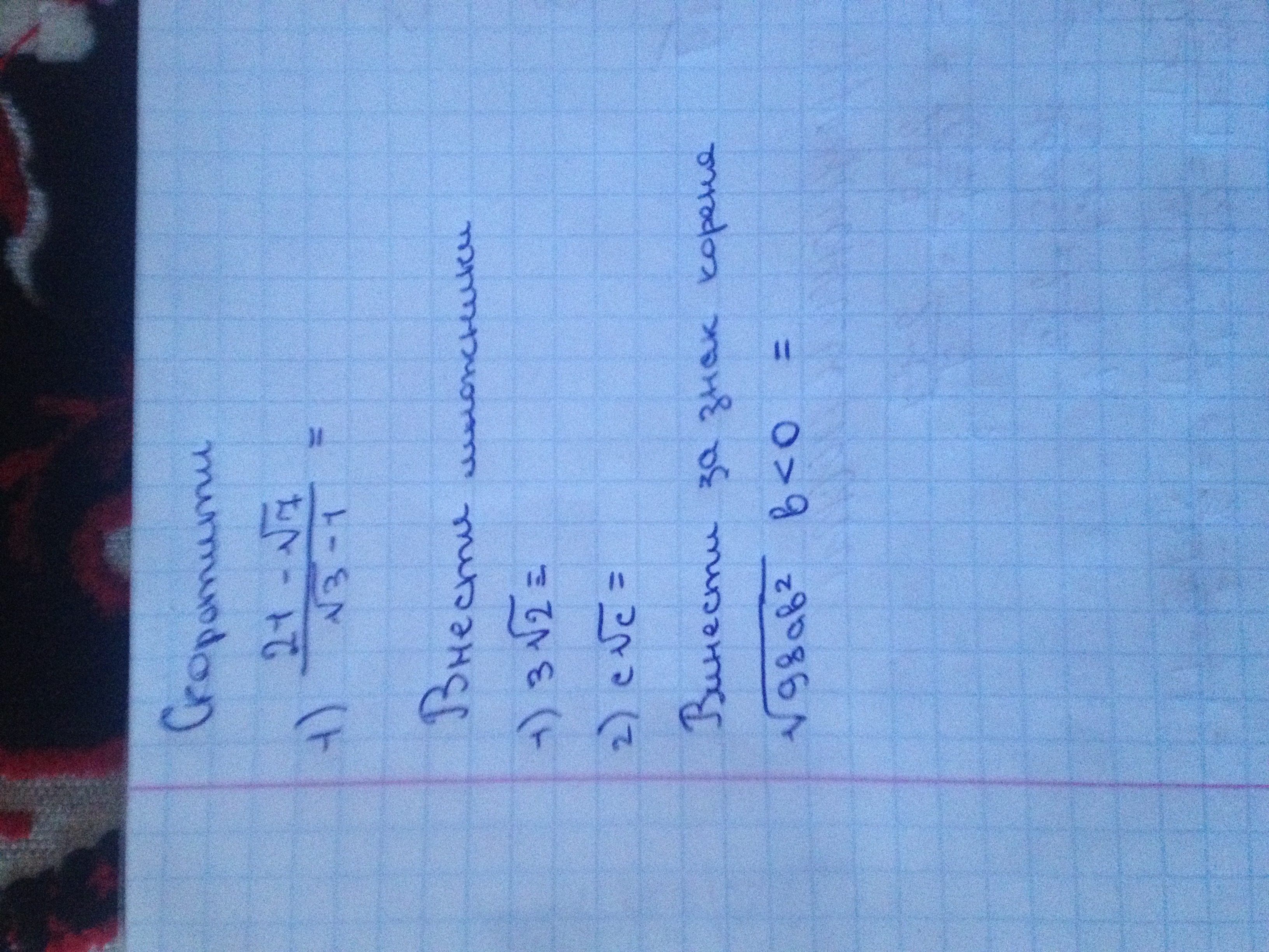
• Допоможіть будь ласка з алгеброю ?! Буду дуже вдячна !!!

    question img

Ответы 1

  • тут много писать, в следующий раз ставь баллов по-больше, а то не помогу)))
  • Добавить свой ответ

Войти через Google

или

Забыли пароль?

У меня нет аккаунта, я хочу Зарегистрироваться

How much to ban the user?
1 hour 1 day 100 years