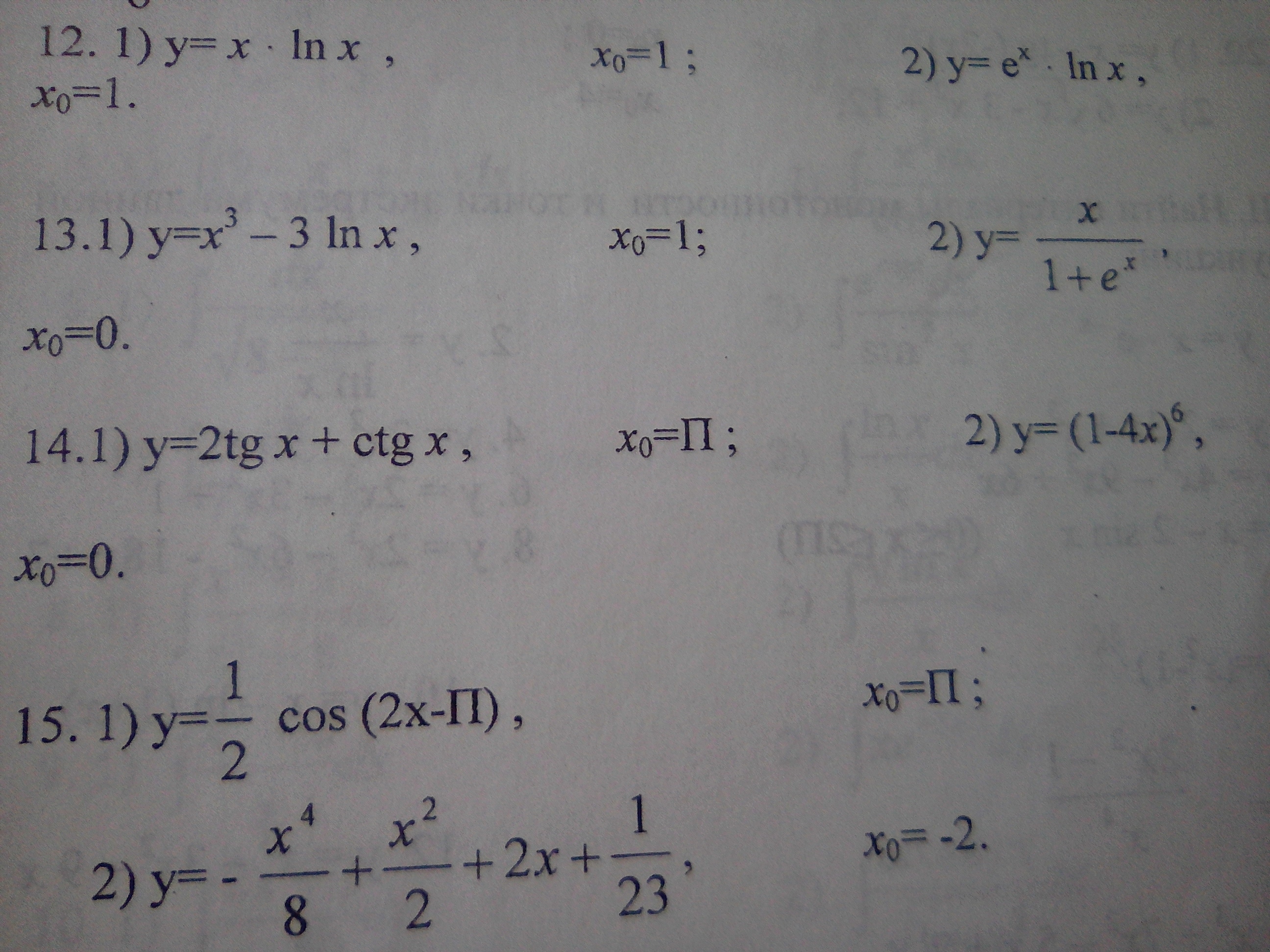
• 14 номер, найти значение производной в данной точке

    question img

Ответы 1

  • сначала надо вычислить производную функции, а потом вместо x подставить конкретную точку
    answer img
    • Автор:

      carey
    • 6 лет назад
    • 0
  • Добавить свой ответ

Еще вопросы

Войти через Google

или

Забыли пароль?

У меня нет аккаунта, я хочу Зарегистрироваться

How much to ban the user?
1 hour 1 day 100 years