• Прошу помогите построить график функции!!! УМОЛЯЮ.
    Срочно надо

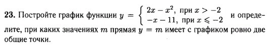
    question img

Ответы 1

  • y= -x²+2x, x > -2   в основе- парабола ветви вниз,

     вершина

      х₀=-b/(2a) =-2/-2=1

      y₀= -1²+2=1

    у= -х-11, х≤-2  луч х∈(-∞; -2]

     пересекает точки (-11;0) и (-2; -9)

    2 общие точки

     при m=1

     при m ∈[-9; -8]

    Ответ: прямая y=m имеет с графиком ровно 2 общие точки :

    при m=1 и при m ∈[-9; -8]

    answer img
    • Автор:

      bebe50
    • 6 лет назад
    • 0
  • Добавить свой ответ

Еще вопросы

Войти через Google

или

Забыли пароль?

У меня нет аккаунта, я хочу Зарегистрироваться

How much to ban the user?
1 hour 1 day 100 years