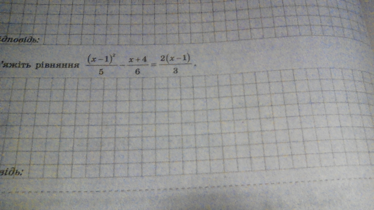
• Решите уравнение..............................................

    question img

Ответы 2

  • Спасибо
    • Автор:

      bruno23yz
    • 6 лет назад
    • 0
  • 6*(х^2-2х+1)-5(х+4)=20(х-1)6х^2-12х+6-5х-20=20х-206х^2-37х+6=0Д=37*37-4*36*36 < 0Решений нет
    • Автор:

      casey64
    • 6 лет назад
    • 0
  • Добавить свой ответ

Войти через Google

или

Забыли пароль?

У меня нет аккаунта, я хочу Зарегистрироваться

How much to ban the user?
1 hour 1 day 100 years