• Решите пж-та!
    Алгебра( если нужно дидактический материал 8 класс Мерзляк К-4 Вариант1)

    question img

Ответы 3

  • Неправильно
    • Автор:

      jewels
    • 6 лет назад
    • 0
  • вот так, сорри) я минус спутал
    • Автор:

      mitch
    • 6 лет назад
    • 0
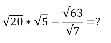
  • √100 - √9 = 10-3 = 71)√a * √b =√a*b2)√a / √b = √a/b
    • Автор:

      diaz8
    • 6 лет назад
    • 0
  • Добавить свой ответ

Войти через Google

или

Забыли пароль?

У меня нет аккаунта, я хочу Зарегистрироваться

How much to ban the user?
1 hour 1 day 100 years