• ПОМОГИТЕ, КАЖДЫЙ РАЗ НОВЫЙ ОТВЕТ ПОЛУЧАЕТСЯ, ЗАПУТАЛСЯ

    question img

Ответы 1

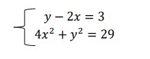
  •  \left \{ {{y-2x=3} \atop {4 x^{2} + y^{2}=29 }} ight. \\\\ \left \{ {{y=3+2x} \atop {4 x^{2} +(3+2x) ^{2}=29 }} ight.\\\\ \left \{ {{y=3+2x} \atop {4 x^{2} +9+12x+4 x^{2} =29}} ight.\\\\ \left \{ {{y=3+2x} \atop {8 x^{2} +12x-20=0}} ight.\\\\ \left \{ {{y=3+2x} \atop {2 x^{2} +3x-5=0}} ight.\\\\2 x^{2} +3x-5=0\\\\D= 3 ^{2}  - 4 * 2 * (-5)= 9+40=49=7 ^{2}\\\\ x_{1}= \frac{-3+7}{4}=1\\\\  x_{2}= \frac{-3-7}{4} =-2,5\\\\ y_{1}= 3+2*1= 5\\\\ y_{2} =3+2*(-2,5)=3-5= - 2      Ответ: (1 ; 5) , ( - 2,5 ; - 2)
  • Добавить свой ответ

Еще вопросы

Войти через Google

или

Забыли пароль?

У меня нет аккаунта, я хочу Зарегистрироваться

How much to ban the user?
1 hour 1 day 100 years