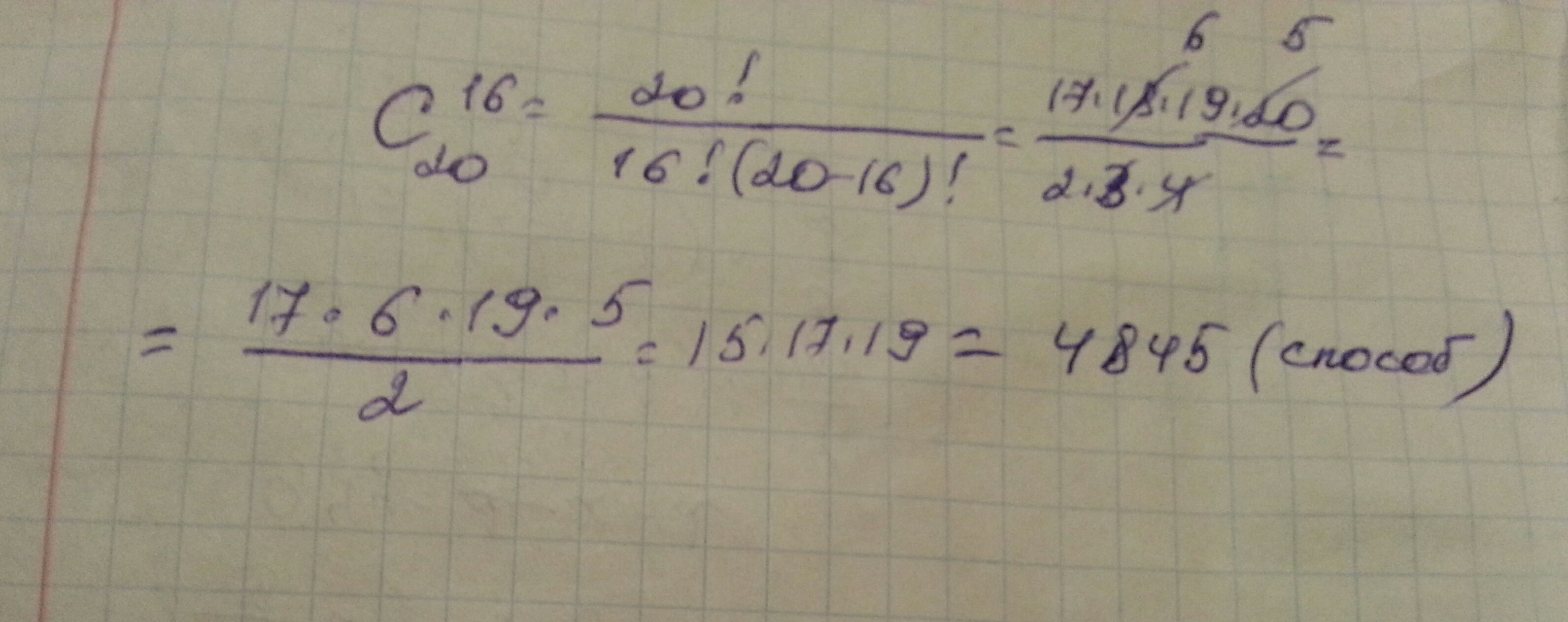
• Сколькими способами из 20 книг можно выбрать 16 книг? Это комбинаторика, пожалуйста, дайте сразу ответ, а не просто формулу

Ответы 1

  • Добавлю ответ.//////////
    answer img
  • Добавить свой ответ

Войти через Google

или

Забыли пароль?

У меня нет аккаунта, я хочу Зарегистрироваться

How much to ban the user?
1 hour 1 day 100 years