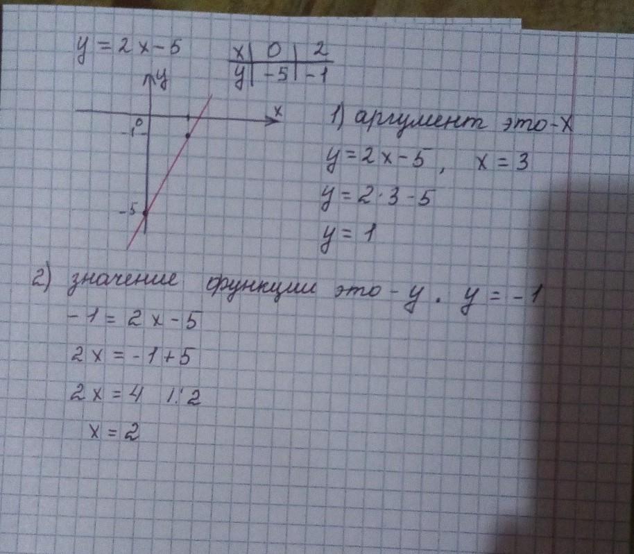
• 2. Постройте график функции у= 2х – 5. Пользуясь графиком, найдите: 1) Значение функции, если значение аргумента равно 3; 2) Значение аргумента, при котором значение функции равно – 1.

Ответы 1

  • Объяснение:

    Думаю что все понятно написал.

    answer img
    • Автор:

      daffyrios
    • 2 года назад
    • 0
  • Добавить свой ответ

Еще вопросы

Войти через Google

или

Забыли пароль?

У меня нет аккаунта, я хочу Зарегистрироваться

How much to ban the user?
1 hour 1 day 100 years