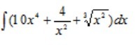
• найти неопределённые интегралы и результаты интегрирования проверить дифференцированием

    question img

Ответы 1

  • спасибо большое, объясните откуда взялось С и D ?
    • Автор:

      mateo73
    • 6 лет назад
    • 0
  • Добавить свой ответ

Войти через Google

или

Забыли пароль?

У меня нет аккаунта, я хочу Зарегистрироваться

How much to ban the user?
1 hour 1 day 100 years