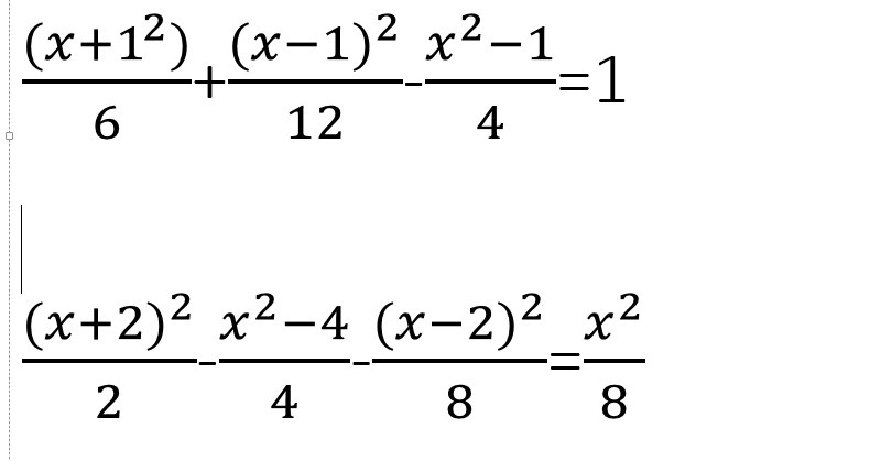
• Сегодня задали уравнения,в которых я не понимаю вообще! Помогите пожалуйста!

    question img

Ответы 6

  • спасибо х)
    • Автор:

      mariana72
    • 6 лет назад
    • 0
  • щас 2 доделаю
    • Автор:

      arynuigh
    • 6 лет назад
    • 0
  • добавил 2, проверяй
    • Автор:

      evanr4py
    • 6 лет назад
    • 0
  • еще раз спасибо <3
  • удачки зая ^_^
  • Если что-то не видно - пиши.
    answer img
    • Автор:

      gracetodd
    • 6 лет назад
    • 0
  • Добавить свой ответ

Войти через Google

или

Забыли пароль?

У меня нет аккаунта, я хочу Зарегистрироваться

How much to ban the user?
1 hour 1 day 100 years