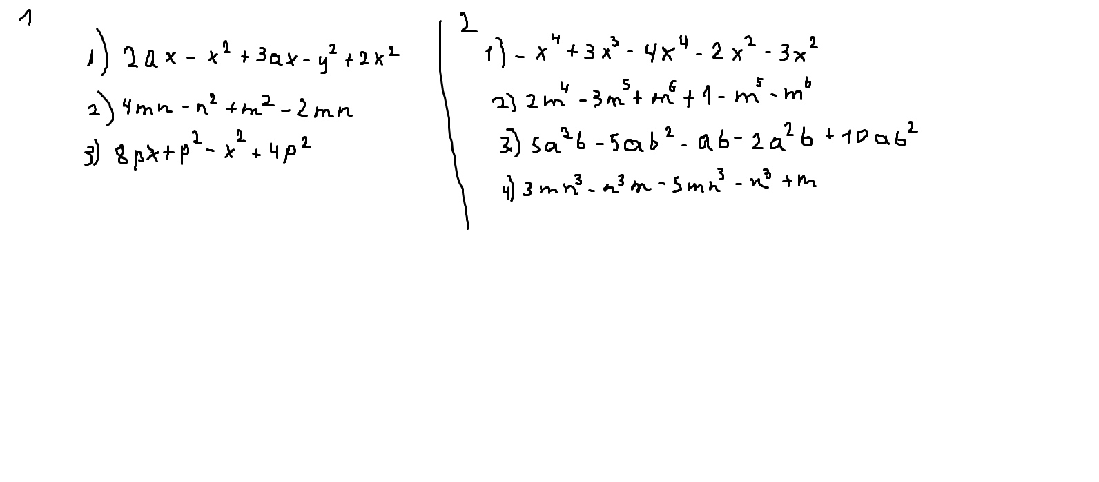
• ребят помагите пожалуста нужно в обоих заданиях привести подобные члены многочлена 

    question img

Ответы 1

  • 5ax+x^2-y^22mn+m^2-n^28px+5p^2-x^2-5x^4+3x^3-5x^22m^4-4m^5+13a^2b+5ab^2-ab-2mn^2-n^3m-n^3+m
  • Добавить свой ответ

Войти через Google

или

Забыли пароль?

У меня нет аккаунта, я хочу Зарегистрироваться

How much to ban the user?
1 hour 1 day 100 years