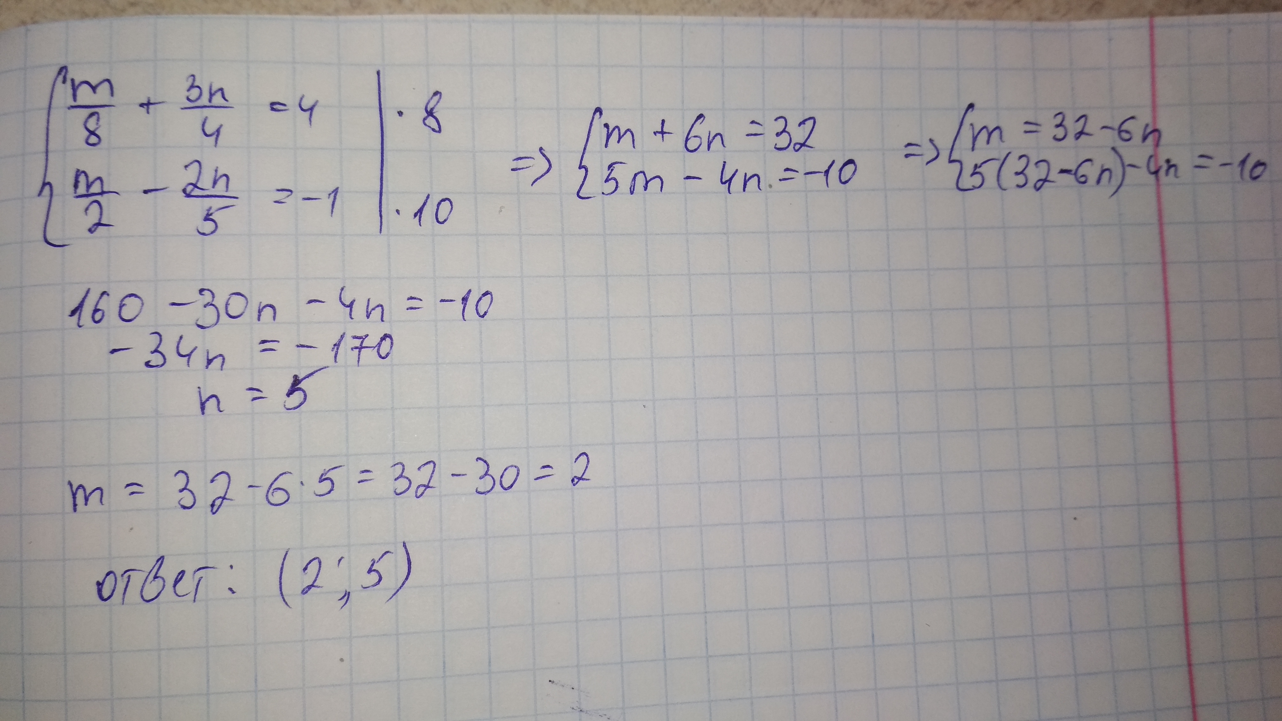
• Решите систему уравнений m/8+3n/4=4. И m/2-2n/5=-1

Ответы 1

  • ...........................
    answer img
    • Автор:

      chloetcbt
    • 2 года назад
    • 10
  • Добавить свой ответ

Войти через Google

или

Забыли пароль?

У меня нет аккаунта, я хочу Зарегистрироваться

How much to ban the user?
1 hour 1 day 100 years