• Люди РЕШИТЕ ПРИМЕРЫ)))ЗАРАНЕЕ спасибо))
    

    question img

Ответы 2

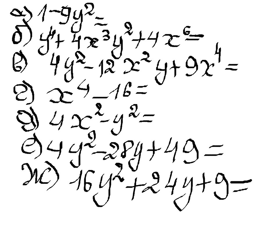
  • 1-9y²=1-(3y)²=(1-3y)(1+3y)y⁴+4x³y²+4x⁶=(y²+2x³)(y²+2x³)4y²-12x²y+9x⁴=(2y-3x²)(2y-3x²)x⁴-16=(x²)²-4²=(x²-4)(x²+4)=(x-2)(x+2)(x²+4)4x²-y²=(2x)²-y²=(2x+y)(2x-y)4y²-28y+49=(2y-7)(2y-7)16y²+24y+9=(4y+3)(4y+3)
  • они не решаются, а раскладываются или сворачиваются по формулам
    answer img
    • Автор:

      samir6jta
    • 6 лет назад
    • 0
  • Добавить свой ответ

Войти через Google

или

Забыли пароль?

У меня нет аккаунта, я хочу Зарегистрироваться

How much to ban the user?
1 hour 1 day 100 years