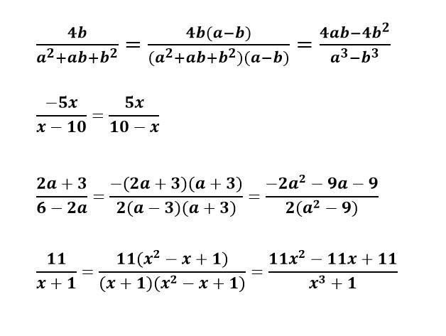
• приведите алгебраическую дробь: 4b/a^2+ab+b^2 к дроби со знаменателем a^3-b^3 2)-5x/ x-10 к дроби со знаменателем 10-x 3)2a+3/6-2a к дроби со знаменателем 2(a^2-9) 4) 11/x+1 к дроби со знаменателем x^4+1

Ответы 1

  • в условии 4) задания опечатка, в знаменателе должно быть х^3+1, а не x^4+1

    нашла верное условие этого задания, смотрите фото

    answer img
    answer img
    answer img
    • Автор:

      foxy1fyq
    • 2 года назад
    • 14
  • Добавить свой ответ

Войти через Google

или

Забыли пароль?

У меня нет аккаунта, я хочу Зарегистрироваться

How much to ban the user?
1 hour 1 day 100 years