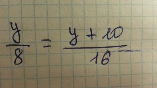
• Прошу! Найдите корень уравнения : только ответ, а в коментах решение.

    question img

Ответы 1

  • y=10если что-то непонятно, спрашивайте(просто в коменты фото нельзя вроде, а я печатать не хочу)
    answer img
    • Автор:

      vaughn40
    • 6 лет назад
    • 0
  • Добавить свой ответ

Войти через Google

или

Забыли пароль?

У меня нет аккаунта, я хочу Зарегистрироваться

How much to ban the user?
1 hour 1 day 100 years