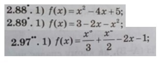
• 30 БАЛЛОВ = 3 примера. Найти критичные точки функции y=f(y). Найти минимум и максимум.

    Расписать всё подробно.

    question img

Ответы 1

  • Решение дано на фото.
    answer img
  • Добавить свой ответ

Войти через Google

или

Забыли пароль?

У меня нет аккаунта, я хочу Зарегистрироваться

How much to ban the user?
1 hour 1 day 100 years