• Решить систему неравенств. (желательно с хорошим подробным объяснением)

    question img

Ответы 1

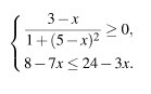
  • Решаем первое неравенство:1+(5-x)²>0  ⇒3-x≥0x≤3Решаем второе неравенство:8-7x≤24-3x4x≥-16  |÷4x≥-4   ⇒Ответ: x∈[-4;3].
    • Автор:

      artemio
    • 6 лет назад
    • 0
  • Добавить свой ответ

Войти через Google

или

Забыли пароль?

У меня нет аккаунта, я хочу Зарегистрироваться

How much to ban the user?
1 hour 1 day 100 years