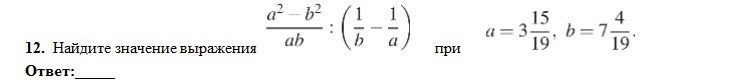
• 1 пример.Помогите пожалуйста завтра экзамен,а я не знаю как делать

    question img

Ответы 1

  • если чтото не правильно, извиняюсь
  • Добавить свой ответ

Войти через Google

или

Забыли пароль?

У меня нет аккаунта, я хочу Зарегистрироваться

How much to ban the user?
1 hour 1 day 100 years