• Помогите решить неравенства, пожалуйста. Очень срочно!!!

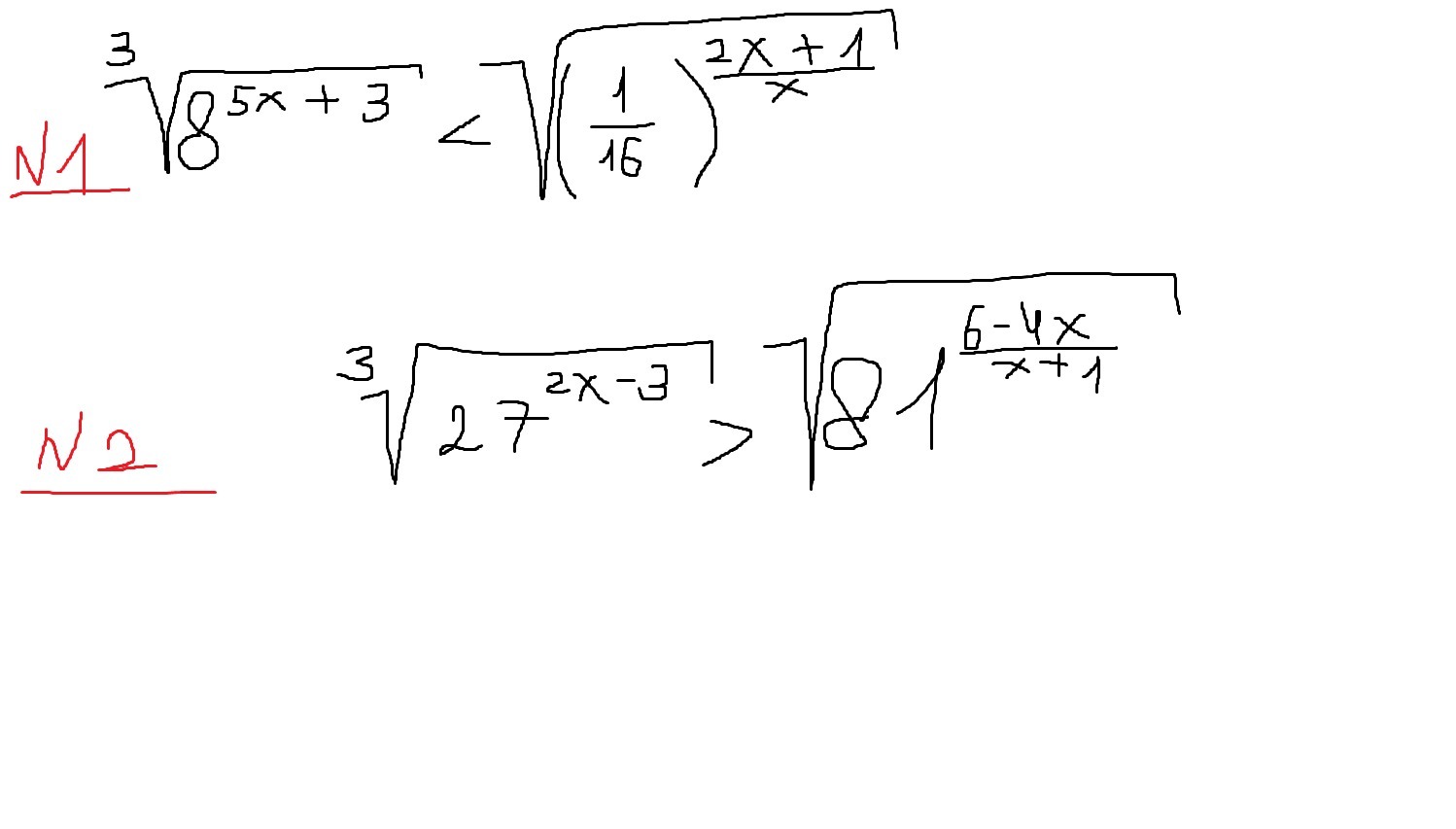
    question img

Ответы 2

  • Большое спасибо
  • 1) 2^{5x+3} \ \textless \  2^{-2(2x+1)/x}  \\  \\ 2\ \textgreater \ 1 \\  \\ 5x+3\ \textless \  \frac{-4x-2}{x}  \\  \\  \frac{5x^2+7x+2}{x} \ \textless \ 0 \\  \\ D=9 \\  \\  x_{1} =-1 \\  \\  x_{2} =-2/5 \\  \\ -----(-1)++++(-2/5)------(0)+++++++x∈(-∞;-1)U(-2/5;0)2) 3^{2x-3} \ \textgreater \  3^{ \frac{2(6-4x)}{x+1} }  \\  \\ 3\ \textgreater \ 1 \\  \\ 2x-3\ \textgreater \  \frac{12-8x}{x+1}  \\  \\ \frac{2x^2-3x+2x-3-12+8x}{x+1} \ \textgreater \ 0 \\  \\  \frac{2x^2+7x-15}{x+1} \ \textgreater \ 0 \\  \\ D=169 \\  \\  x_{1} =-5 \\  \\  x_{2} =1.5 \\  \\ -----(-5)+++++(-1)------(1.5)+++++x∈(-5;-1)U(1.5;+∞)
    • Автор:

      reed
    • 6 лет назад
    • 0
  • Добавить свой ответ

Войти через Google

или

Забыли пароль?

У меня нет аккаунта, я хочу Зарегистрироваться

How much to ban the user?
1 hour 1 day 100 years