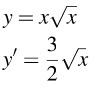
• боже мой, объясните откуда 3\2 и куда все делось и что тут вообще разложилось и перемножилось

    question img

Ответы 1

  • задана функция y=x\sqrt{x}учитывая свойство степеней с одинаковым основанием и дробным показателемa^{\frac{n}{m}}=\sqrt[m] {a^n}a^{\frac{1}{2}}=\sqrt[2] {a^1}=\sqrt{a}a^n*a^m=a^{n+m}можно переписать в виде y=x\sqrt{x}=x^1*x^{\frac{1}{2}}=x^{1+\frac{1}{2}}=x^{\frac{3}{2}}далее мы ищем производную функциюдля степенной есть формулаy=x^n; тогда y'=n*x^{n-1}соотвественно получаем в данном случае y'=(x^{\frac{3}{2}})'=\frac{3}{2}*x^{\frac{3}{2}-1}=\frac{3}{2}*x^{\frac{1}{2}}=\frac{3}{2}\sqrt{x} 
    answer img
  • Добавить свой ответ

Еще вопросы

Войти через Google

или

Забыли пароль?

У меня нет аккаунта, я хочу Зарегистрироваться

How much to ban the user?
1 hour 1 day 100 years