• Помогите пожалуйста..не могу решить)) заранее спасибо

    question img

Ответы 1

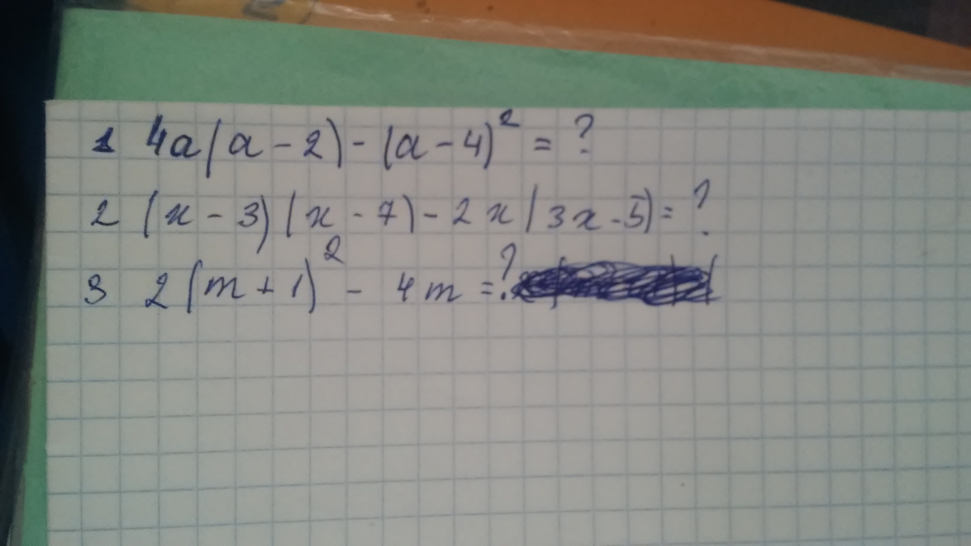
  • 1) 4а*(а-2) - (а-4)² = 4а² - 8а - (а² - 8а + 16) = 4а² - 8а - а² + 8а - 16 = 3а² - 162) (х-3)*(х-7) - 2х*(3х-5) = х² - 7х - 3х + 21 - (6х² - 10х) = х² - 10х + 21 - 6х² + 10х = -5х² + 213) 2*(m+1)² - 4m = 2*(m² + 2m + 1) - 4m = 2m² + 4m + 2 - 4m = 2m² + 2
  • Добавить свой ответ

Войти через Google

или

Забыли пароль?

У меня нет аккаунта, я хочу Зарегистрироваться

How much to ban the user?
1 hour 1 day 100 years