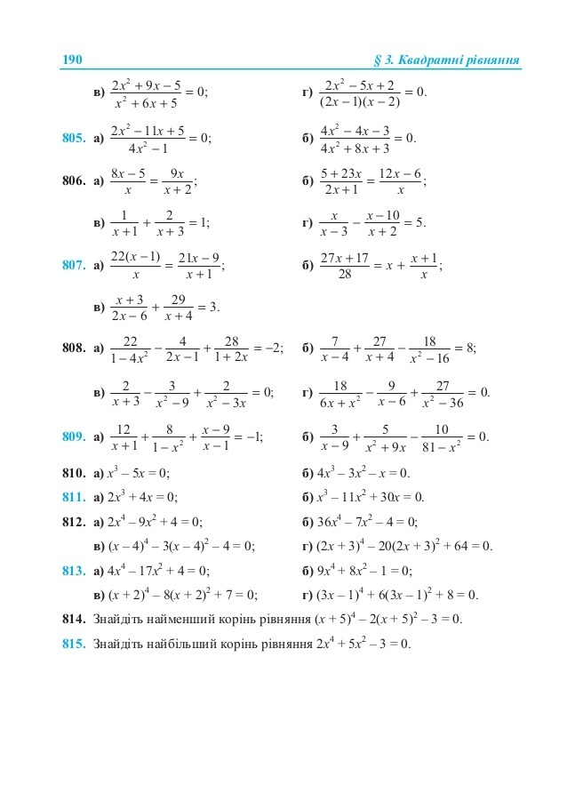
• Помоги срочно вправа 811 812 813
    дам 30 балов

    question img

Ответы 1

  • 811. \\ a)2 {x}^{3} + 4x = 0 \\ 2x({x}^{2} + 2) = 0 \\ x = 0 \: \: \: x = + - \sqrt{2} \\ b) {x}^{3} - 11 {x}^{2} + 30x = 0 \\x = 0 \: \: \: {x}^{2} - 11 {x} + 30= 0\\x =- 6 \: \: \: x = - 5
    answer img
  • Добавить свой ответ

Еще вопросы

Войти через Google

или

Забыли пароль?

У меня нет аккаунта, я хочу Зарегистрироваться

How much to ban the user?
1 hour 1 day 100 years