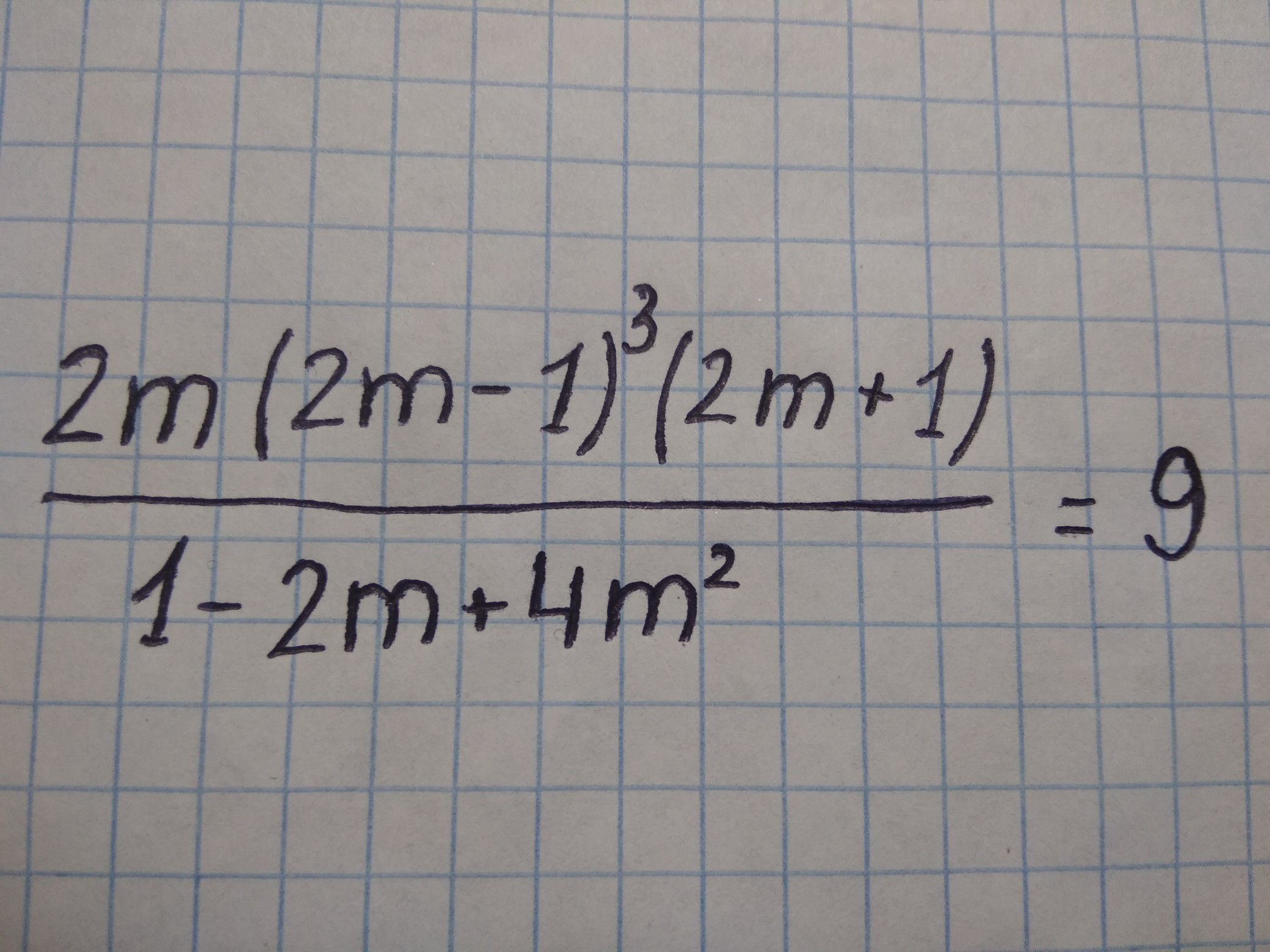
• 35 баллов! Очень срочно! Помогите решить уравнение!

    question img

Ответы 1

  • Уточните, пожалуйста, условие, оно, возможно, неправильное. Попробуйте заменить 2m на t, так может быть проще.
    • Автор:

      tommy6mpr
    • 6 лет назад
    • 0
  • Добавить свой ответ

Войти через Google

или

Забыли пароль?

У меня нет аккаунта, я хочу Зарегистрироваться

How much to ban the user?
1 hour 1 day 100 years