• Система уравнений, очень нужна помощь! Помогите пожалуйста. Даю 19 баллов

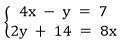
    Выясните, имеет ли решение система уравнений. Если имеет, то сколько:

    question img

Ответы 1

  • Решение является пара (1,75;0)
    • Автор:

      ashlynn
    • 6 лет назад
    • 0
  • Добавить свой ответ

Войти через Google

или

Забыли пароль?

У меня нет аккаунта, я хочу Зарегистрироваться

How much to ban the user?
1 hour 1 day 100 years