Возведение в степень на поле действительных чисел, когда и основание и степень и результат возведения действительны, не определено для отрицательного основания вообще. Другими словами, возводить отрицательные числа в не целые вещественные числа НЕЛЬЗЯ. Например, -3 в степень 1/3 нельзя возвести, вот извлечь корень кубический из -3 можно.по этому, нужно требовать, что бы

(дальше в решении будет возникать, будет возводиться в вещественную степень
)
), и что бы

Также, нужно требовать, что бы

, по скольку изначально

находиться под логарифмом.Возведении отрицательных чисел в иррациональную степень происходит уже на поле комплекстных чисел, и будет получаться счётное число комплекстных значений такого возведения.Возведение отрицательных чисел в дробную степень, будет происходить также на поле комплекстных чисел, и будет получаться конечное число комплекстных значений такого возведения.
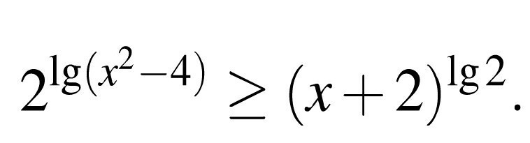
![lg(x^2-4)=log_{10}(x^2-4)=\frac{log_2(x^2-4)}{log_2(10)}=\frac{1}{log_2(10)}*log_2(x^2-4)=\\\\
=log_{10}(2)*log_2(x^2-4)=lg(2)*log_2(x^2-4)=\\\\=log_2[(x^2-4)^{lg(2)}],\ \ if\ \ x^2-4> 0 lg(x^2-4)=log_{10}(x^2-4)=\frac{log_2(x^2-4)}{log_2(10)}=\frac{1}{log_2(10)}*log_2(x^2-4)=\\\\
=log_{10}(2)*log_2(x^2-4)=lg(2)*log_2(x^2-4)=\\\\=log_2[(x^2-4)^{lg(2)}],\ \ if\ \ x^2-4> 0](https://tex.z-dn.net/?f=lg(x^2-4)=log_{10}(x^2-4)=\frac{log_2(x^2-4)}{log_2(10)}=\frac{1}{log_2(10)}*log_2(x^2-4)=\\\\
=log_{10}(2)*log_2(x^2-4)=lg(2)*log_2(x^2-4)=\\\\=log_2[(x^2-4)^{lg(2)}],\ \ if\ \ x^2-4> 0)
------------------
![2^{lg(x^2-4)}=2^{log_2[(x^2-4)^{lg(2)}]}=(x^2-4)^{lg(2)},\ \ if\ \ x^2-4 > 0 2^{lg(x^2-4)}=2^{log_2[(x^2-4)^{lg(2)}]}=(x^2-4)^{lg(2)},\ \ if\ \ x^2-4 > 0](https://tex.z-dn.net/?f=2^{lg(x^2-4)}=2^{log_2[(x^2-4)^{lg(2)}]}=(x^2-4)^{lg(2)},\ \ if\ \ x^2-4 > 0)
------------------
}=2^{\frac{log_2(x^4-10)}{log_2(10)}}=2^{log_2(x^2-4)^{\frac{1}{log_2(10)}}}=\\\\
=(x^2-4)^{\frac{1}{log_2(10)}}=(x^2-4)^{lg(2)},\ \ if\ \ x^2-4 \ \textgreater \ 0)
------------------