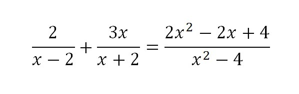
• !!!Пожалуйста, подскажите хотя бы порядок действий, что за чем считать!!! Область допустимых значений нашли. Нужно приведение к общему знаменателю, перенесение правой части в левую? СРОЧНО!!!!!

    question img

Ответы 2

  • Спасибо большое! Пожалуйста, помогите здесь! https://znanija.com/task/28839369
  • Решение смотри на фото
    answer img
    • Автор:

      jakoblowe
    • 6 лет назад
    • 0
  • Добавить свой ответ

Войти через Google

или

Забыли пароль?

У меня нет аккаунта, я хочу Зарегистрироваться

How much to ban the user?
1 hour 1 day 100 years