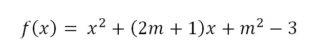
• ПОМОГИТЕ, ПОЖАЛУЙСТА!!! Дана функций (на фото). Найдите действительные значения параметра m, при которых минимум функции f равен = -1/4

    question img

Ответы 1

  • f(x)=x^2+(2m+1)x+m^2-3 \\  \\ f'(x)=2x+2m+1 \\  \\ f'(x)=0\\  \\ 2x=-(2m+1) \\  \\ x= -\frac{2m+1}{2}  \\  \\ f( -\frac{2m+1}{2})=( -\frac{2m+1}{2})^2+(2m+1)* (-\frac{2m+1}{2})+m^2-3= \\  \\  \frac{4m^2-12-(4m^2+4m+1)}{4} = \frac{-4m-13}{4} =- \frac{1}{4}  \\  \\ -4m=-1+13 \\  \\ 4m=-12 \\  \\ m=-3
  • Добавить свой ответ

Войти через Google

или

Забыли пароль?

У меня нет аккаунта, я хочу Зарегистрироваться

How much to ban the user?
1 hour 1 day 100 years