• Помогите, пожалуйста, решить. Очень срочно нужно

    question img

Ответы 2

  • Спасибо огромное
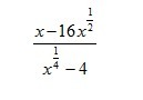
  • Здесь нужно вспомнить о правилах произведения степеней с одинаковым основанием, а также возведения степени в другую степень. По правилу, степени складываются, если основание степеней одинаковое, т.е. a^b * a^c = a ^ (b+c), и также, (a ^ b) ^ c = a ^ (b*c). Например, x = x^((1/2)*2) или x = (x ^ (1/2))^2. А дальше нужно вынести общий множитель x^(1/2) за скобку и расписать x^(1/2) = x^((1/4)*2) и по формуле разности квадратов в числителе в скобках получим: (x^(1/4)-4)*(x^(1/4)+4). Дальше просто сократить в числителе и знаменателе одинаковое выражение. Подробно - на рисунке.
    answer img
  • Добавить свой ответ

Войти через Google

или

Забыли пароль?

У меня нет аккаунта, я хочу Зарегистрироваться

How much to ban the user?
1 hour 1 day 100 years