• помагите решить в 1 задании нужно найти сумму выражения во 2 задании нужно преобразовать в многочлен стандартного вида 

    question img

Ответы 1

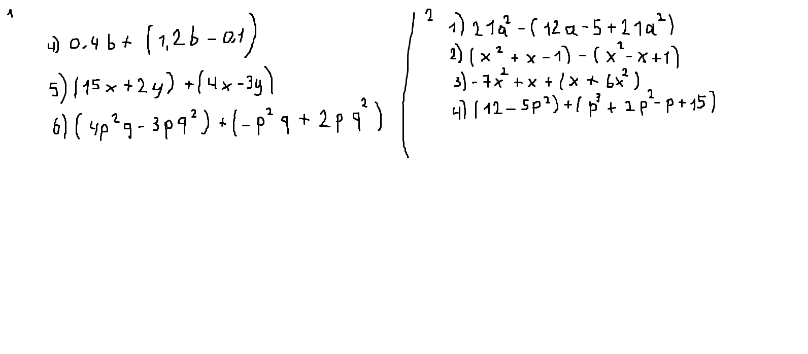
  • 0.4b+(1.2b-0.1)=0.4b+1.2b-0.1=1.6b-0.1
\\\
(15x+2y)+(4x-3y)=15x+2y+4x-3y=19x-y
\\\
(4p^2q-3pq^2)+(-p^2q+2pq^2)=4p^2q-3pq^2-p^2q+2pq^2=3p^2q-pq^2
\\\
21a^2-(12a-5+21a^2)=21a^2-12a+5-21a^2=5-12a
\\\
(x^2+x-1)-(x^2-x+1)=x^2+x-1-x^2+x-1=2x-2
\\\
-7x^2+x+(x+6x^2)=-7x^2+x+x+6x^2=-x^2+2x
\\\
(12-5p^2)+(p^3+2p^2-p+15)=12-5p^2+p^3+2p^2-p+15= \\\ =p^3-3p^2-p+27
    • Автор:

      ralph31
    • 6 лет назад
    • 0
  • Добавить свой ответ

Войти через Google

или

Забыли пароль?

У меня нет аккаунта, я хочу Зарегистрироваться

How much to ban the user?
1 hour 1 day 100 years